近日,哈爾濱工業大學(深圳)土木與環境工程學院陳白楊教授團隊在Chemosphere期刊上發表了題為“Towards elevated perfluorooctanoic acid(PFOA)enrichment in water:Sequential liquid-liquid extraction pretreatment for ion chromatography detection”的研究論文。該研究建立了一種基于萃取-反萃取原理的一種色譜前處理富集技術,用于檢測水中納克升級別PFOA。文章既揭示了PFOA從有機相轉移至水相的影響因素與規律,也解決了PFOA易被實驗器皿吸附和在實際水樣中產生乳化現象等問題。盛瀚SH-AC-24色譜柱為論文數據的準確性、穩定性提供技術支持。

研究內容
1 引言
PFOA在環境中的普遍存在已引發廣泛關注。然而,傳統的PFOA檢測方法依賴于昂貴的固相萃取和液相色譜串聯質譜技術,限制了其常規應用。為此,本研究提出了一種經濟且創新的富集技術,用于測定水中ng/L級的PFOA。該方法包含兩個關鍵的前處理步驟:
1.在酸性環境中進行PFOA的第一步萃取與富集;
2.在堿性環境中進行第二步反萃取與進一步富集。
處理后的樣品隨后通過常規離子色譜無需質譜即可進行檢測。

實驗結果顯示,當把溶液pH值降低至PFOA的pKa值(即2.8)以下時,萃取劑(甲基叔丁基醚MTBE)能將水中分子態PFOA(log Kow1=4.8)幾乎全部萃取,從而更有效提高PFOA的富集倍數(EF)。隨后,再用堿性水反萃取MTBE中PFOA。雖然此時離子態PFOA仍然具有一定親油性(log Kow2=1.0),但加熱氮吹可將MTBE去除并迫使PFOA進入水相。此外研究發現,在MTBE加入5%甲醇不僅能降低PFOA與管壁的吸附,還有助于減少PFOA的共揮發。在優化條件下,該方法能達到9.2 ng/L的方法檢出限,富集倍數高達719。該新方法與傳統SPE-HPLC-MS方法的對比驗證了該方法的準確性。盡管此方法目前僅測試了PFOA,但理論上說它同樣適用于其他全氟羧酸類有機物的富集和檢測。
2 實驗結果
2.1 離子色譜法檢測PFOA

圖1 PFOA與共存離子分離譜圖(SH-AC-24色譜柱,5mM KOH,流速1.5 mL/min,PFOA=1.0 mg/L,F-=0.1 mg/L,Cl-=0.1 mg/L,NO2-=0.1 mg/L,Br-=0.1 mg/L,NO3-=0.1 mg/L,SO42-=0.1 mg/L)
圖1顯示出PFOA與共存干擾離子在離子色譜中的較好分辨率。若不進行前處理,PFOA在離子色譜儀器檢出限約為7.2 μg/L。
2.2 萃取pH的影響

如圖2所示,當萃取pH值在1.0至3.0之間時,PFOA的EF保持穩定,而pH值從3.0升至7.0時,其EF逐漸下降,在7.0至10.0范圍內降至最低。這一結果證明了樣品酸化能將離子態的PFOA(疏水性較弱)轉化為分子態的PFOA(疏水性更強),從而提升PFOA的萃取效率,尤其是當溶液pH值低于PFOA的pKa值2.8時。而以往研究往往在pH值為4.0或中性條件下進行,因此未能最大化提高PFOA的EF。
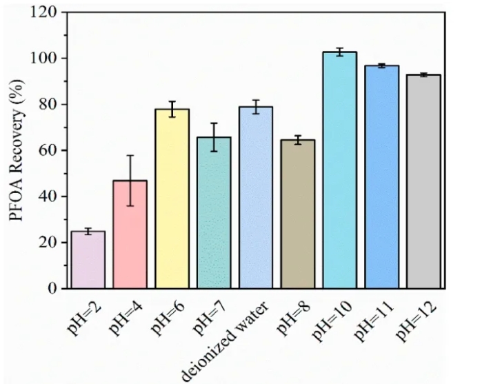
2.3 反萃取劑pH的影響

圖3 反萃取劑pH對PFOA回收率的影響
圖3顯示,隨著反萃取pH值從2.0增至8.0,PFOA的回收率逐漸提升;然而,當pH值繼續增加到10.0至12.0時,即強堿性環境下,PFOA的回收率普遍高于酸性和中性條件。雖然中性水已經高于其pKa值,但MTBE在萃取酸液后自身也呈現一定酸性,因此需要更高pH的溶液來中和酸鹽并進行高效反萃取。由于離子色譜的流動相通常由高pH的KOH組成(例如,5 mM KOH的pH為11.7),因此選擇pH值為10.0對后續離子色譜運行的影響很小。
2.4 萃取條件對PFOA吸附的影響

圖4 萃取操作對PFOA富集的影響
考慮到PFOA很容易被實驗室設備和吸附劑所吸附,本研究嘗試使用了多種措施來減少PFOA的吸附損失(如圖4所示)。實驗結果顯示,所試方法中有四種均能顯著提高PFOA的EF。特別是添加5%甲醇,其能顯著提升PFOA回收率和EF。該實驗結果也與常見的一個事實吻合,即標準PFOA試劑往往儲存在含甲醇溶液的玻璃器皿中,而非水中。這表明甲醇的確能有效阻止PFOA被器皿吸附。
3 結論
本研究開發了一種適用于痕量PFOA在普通色譜儀器上檢測的富集方法,其可以將1升含PFOA樣品富集719倍從而將方法檢出限降低至9.2 ng/L。該方法及原理也有望應用于其它含氟羧酸類有機物的前處理與檢測。
盛瀚色譜柱
SH-AC-24色譜柱為痕量PFOA在普通色譜儀器上檢測,提供精準、穩定的數據支持。SH-AC-24是陰離子色譜柱,用于抑制電導法進行常規陰離子分析,可同時實現常見常見陰離子和飲用水中消毒副產物的分離,也可分離部分有機酸如甲酸、乙酸、酒石酸、草酸等;應用于食品、環境、水質、鋰電、新污染物等領域。

盛瀚專注于離子色譜儀及其核心部件的研發、生產與銷售,攻克了核心部件——色譜柱的研發。早在2007年,盛瀚開始進行色譜填料研發;2011年,自主研發的陰離子色譜柱榮獲了北京科學技術研究院的10大科技成果獎,打破國外壟斷,填補國內空白;2014年,盛瀚碳酸鹽體系的離子色譜柱研發成功;2015年,自制陽離子色譜柱商品化生產;2018年,國內首創OH-體系陰離子分析色譜柱誕生。目前,盛瀚研發的色譜柱共30余款,廣泛應用于食品安全、環境監測、水質檢驗、能源化工、國防安全、核電能源等重要領域。
陳白楊,哈爾濱工業大學(深圳)教授、博導,主要關注飲用水中消毒副產物等微污染物問題,并結合膜分離和紫外光等技術探索新型簡易污染物檢測和去除方法。已主持包括國家自然科學基金項目在內科研課題十余項,在《WaterResearch》、《Environmental Science & Technology》、《 Chemical Engineering Journal 》、《 Journal ofHazardous Materials》等主流刊物發表論文 60 余篇。

△盛瀚創始人朱總為陳白楊教授頒發特聘專家證書
一直以來,盛瀚與陳白楊教授在離子色譜開發、應用等領域有著密切的合作關系。今年年初,盛瀚大灣區創新中心開業,聘任陳白楊教授為創新中心的特聘專家,共同開展離子色譜應用開發與拓展,聯合攻關科研項目。相信越來越多專家學者的加入,能不斷提升盛瀚儀器與耗材的產品性能與應用范圍,推動國產儀器的高水平發展。